Skip to content

DeepLearning笔记(13)——RNN

1. 序列模型的例子

2. 符号定义

例如一个识别人名的模型,输入 x 和输出 y 如下表所示:

HarryPotterandHermioneGrangerinventedanewspell
xx1x2x3x4x5x6x7x8x9
110110000
yy1y2y3y4y5y6y7y8y9
  • x(i) 表示第 i 个样本的输入
  • x(i)t 表示第 i 个样本的输入的第 t 个位置
  • y(i) 表示第 i 个样本的输出
  • y(i)t 表示第 i 个样本的输出的第 t 个位置
  • Tx(i) 表示第 i 个样本的输入的序列长度
  • Ty(i) 表示第 i 个样本的输出的序列长度

那么如何表示一个句子里的一个单词呢?首先需要一张词汇表,例如:

[aandharrypotterzulu]13674075683010000

然后对每样本句子中的每一个单词使用 one-hot 方式来表示。

3. RNN

RNN的基本结构如下图所示,可以看到,每一个时刻 t 的计算,依赖了之前序列的输出。

在每个RNN单元内,计算如下:

即:

at=g(Waaat1+Waxxt+ba)y^t=g(Wyaat+by)

第一个式子里,激活函数通常为 tanh,第二个式子里,激活函数为 sigmoid 或者 softmax

可以令:

[at1,xt]=[at1xt]

因此上面的式子可以简化为:

at=g(Wa[at1,xt]+ba)y^t=g(Wyat+by)

在反向传播过程中,每个RNN单元内的计算如下图所示:

4. 不同类型的RNN

RNN根据实际场景,有着不同的结构。如下图所示:

  • one-to-one:即普通的神经网络
  • one-to-many:序列生成。例如根据一个输入(音乐流派,第一个音符,或者空值)生成一段音乐
  • many-to-one:例如对影评进行评分;分析文本的情感倾向灯
  • many-to-many (Tx=Ty):例如上文提到的判断一句话里哪些单词是人名
  • many-to-many (TxTy):例如语言翻译

5. 语言模型

常用于语音识别和机器翻译。例如两句话:

  • The apple and pair salad.
  • The apple and pear salad.

语音识别系统可能会认为用户说的更有可能是第二句话。事实上,在选择的过程中,其实是计算了每句话的概率,从而选取可能性大的那句话。语言模型要做的就是判断一个句子出现的概率,即 P(sentence)P(y1,y2,,yTy)(其中 y1,y2,,yTy 组成了完整的句子)。

为了构建语言模型,需要有一个很大的语料库(corpus)作为训练样本。假设语料库中有一个句子是:Cats average 15 hours of sleep a day. 那么需要做的是:

  1. 针对句子中的每一个单词,根据词典来得到其 one-hot 的向量化形式

    • 标点符号可以自行决定要不要作为一个token
    • 如果字典中没有该单词,则使用一个特殊标记 UNK 来表示(UNKNOWN)
  2. 增加一个特殊标记 EOS,表示句子的结尾(可选,根据需求而定)

  3. 构建RNN网络来进行训练

    • xt=yt1
    • y1 计算的是 P(cat),即 cat 作为句子第一个词出现的概率;y2 计算的是 P(averagecat),即在 cat 是句子开头的情况下,average 是第二个单词的概率;依此类推

  4. L(y^t,yt)=iyitlogy^it

  5. L=tL(y^t,yt)

训练完成之后,假设有一个句子有三个单词 y1,y2,y3,则:

P(y1,y2,y3)=P(y1)P(y2y1)P(y3y1,y2)

6. 新序列采样

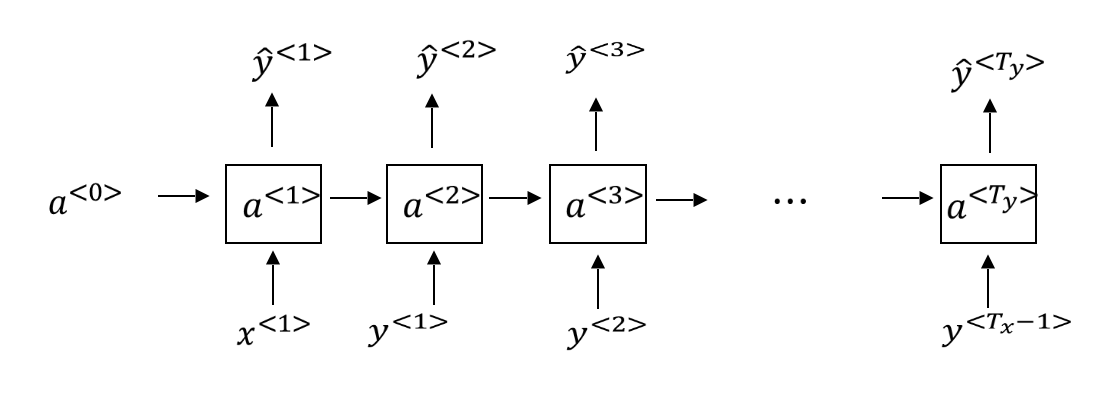
训练序列模型过程中网络结构如下图所示:

在训练好了一个序列模型后,要想知道这个模型学到了什么,可以进行一次新序列采样,从而生成一段随机的序列。在对新序列采样过程中,网络结构有一些不同,如下所示:

  • 通过输入 a0x1,得到 y^1,然后通过 numpy.random.choice 进行采样作为句子第一个单词。
  • 然后将 y^1 作为输入,得到 y^2,然后通过采样得到句子的第二个单词。
  • 依此类推,生成一个完整的句子。
    • 结束条件:限定序列的长度或者遇到 EOS
    • 生成过程中遇到 UNK,根据需要直接使用,或者忽略然后继续采样

7. GRU单元

相关论文:

上面介绍的基础的RNN只能处理临近依赖,而无法有效地处理长期依赖。例如下面两个句子:

  • The cat, which already ate …, was full.
  • The cats, which already ate …, were full.

后面是 was 还是 were,依赖于前面是 cat 还是 cats。

GRU (Gated Recurrent Unit,门控循环单元) 可以更好地捕获深层连接,处理长期依赖,并且改善了梯度消失的问题。

Γr=σ(Wr[ct1,xt]+br)Γu=σ(Wu[ct1,xt]+bu)c~t=tanh(Wc[Γrct1,xt]+bc)ct=Γuc~t+(1Γu)ct1

8. LSTM

LSTM (Long Short Term Memory,长短期记忆) 单元,是另外一种更加强大的RNN单元结构。

c~t=tanh(Wc[at1,xt]+bc)Γu=σ(Wu[at1,xt]+bu)Γf=σ(Wf[at1,xt]+bf)Γo=σ(Wo[at1,xt]+bo)c~t=Γuc~t+Γfct1at=Γotanh(ct)

与GRU相比,LSTM有三个门(遗忘门、更新门、输出门),因此更为强大。不过GRU由于结构相对简单,性能相对高一些,可以构建更大规模的网络。

9. BRNN

例如一个识别句子中人名的模型,输入下面两个句子:

  • He said, "Teddy bears are on sale!"
  • He said, "Teddy Roosevelt was a great President!"

在遇到第三个单词 Teddy 的时候,只看句子前面部分是不够的,还需要句子后半部分的信息。此时需要使用双向RNN (Bidirectional RNN)。如下图所示:

10. 深层RNN

通过增加隐藏层来构建更深的RNN网络。如图所示:

其中每一个单元可以是普通的RNN单元,GRU或者LSTM。